1️⃣ 카오스 이론이란?
카오스 이론(Chaos Theory)은 **비선형 동역학(Nonlinear Dynamics)**에서 등장하는 개념으로,
처음에는 미세한 차이였던 것이 시간이 지나면서 거대한 차이를 만들어내는
예측 불가능한 복잡한 시스템의 행동을 설명하는 이론이다.
이는 단순한 무질서(disorder)가 아니라, 내재된 패턴과 구조를 가진 복잡한 역학 시스템이다.
즉, 완전히 무작위적인 것이 아니라, 일정한 규칙을 따르지만 우리가 쉽게 예측할 수 없는 방식으로 작동하는 것이다.
📌 대표적인 특징
✅ 초기 조건에 대한 민감성 (Sensitive Dependence on Initial Conditions, SDIC)
→ 초기값이 아주 조금만 달라져도 최종 결과가 크게 변함 (나비효과)
✅ 결정론적이지만 예측 불가능 (Deterministic but Unpredictable)
→ 시스템의 법칙은 명확하지만, 시간이 지남에 따라 예측이 불가능해짐
✅ 프랙털 구조와 자기 유사성 (Fractal Structure & Self-Similarity)
→ 시스템 내부에 반복되는 패턴이 존재
이제, 카오스 이론을 대표하는 개념인 **"나비효과"**를 살펴보자.
2️⃣ 나비효과: 브라질의 나비가 미국에서 태풍을 일으킨다?
"브라질에서 나비 한 마리가 날갯짓을 하면, 몇 주 후 미국에서 태풍이 발생할 수도 있다."
이것이 바로 **나비효과(Butterfly Effect)**의 핵심 개념이다.
작은 변화가 시간이 지나면서 큰 차이를 만들어낸다는 것을 의미한다.
이 개념은 1960년대 기상학자 **에드워드 로렌츠(Edward Lorenz)**가
기후 변화 모델을 연구하다가 발견했다.
📌 로렌츠의 발견
로렌츠는 컴퓨터 시뮬레이션을 통해 기상 예측 모델을 만들었고,
이 과정에서 초기 조건을 아주 조금만 변경해도
결과가 완전히 달라지는 것을 확인했다.
예를 들어, 소수점 6자리(0.506127)까지 입력했던 초기값을
소수점 3자리(0.506)까지만 입력했더니 예측 결과가 완전히 달라지는 현상이 나타났다.
이것이 바로 초기 조건에 대한 민감성(SDIC)의 대표적인 사례다.
로렌츠는 이를 설명하기 위해
비선형 동역학 방정식을 활용하여 **로렌츠 어트랙터(Lorenz Attractor)**라는
카오스 시스템의 시각적 패턴을 제시했다.
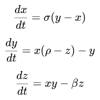
3️⃣ 로렌츠 방정식과 카오스 수학적 모델
로렌츠 방정식은 기상 모델을 단순화한 3개의 연립 미분방정식이다.

여기서,
✅ x → 유체의 대류 속도
✅ y → 온도 차이
✅ z → 유체의 불균형 정도
이 방정식을 풀면 예측 불가능한 곡선을 따라 움직이는 로렌츠 어트랙터를 얻을 수 있다.
이는 특정한 패턴을 따르지만, 절대 같은 지점으로 돌아오지 않는 특성을 보인다.
이제, 카오스 이론이 실제 현실에서 어떻게 적용되는지 살펴보자.
4️⃣ 카오스 이론의 실제 응용 사례
📌 기상 예측과 기후 변화 모델링
기후 시스템은 **비선형성(Nonlinearity)**이 강한 복잡계이다.
따라서 초기값이 아주 조금만 달라져도 미래 날씨를 예측하는 것이 극도로 어려워진다.
✅ AI 기반 기후 모델링
최근에는 AI와 머신러닝을 활용하여 카오스 패턴을 분석하고 장기적인 기후 변화 예측을 시도하고 있다.
📌 금융 시장과 주가 변동성 분석
금융 시장의 주가는 카오스적 성질을 띠며,
단기적인 패턴이 존재하지만 장기적으로 예측이 어려운 특징이 있다.
✅ 프랙탈 시장 가설 (Fractal Market Hypothesis, FMH)
주가의 움직임이 카오스 시스템과 유사한 패턴을 보이며,
프랙탈 구조를 통해 반복적인 패턴이 존재함이 밝혀졌다.
📌 적용 사례
- AI 트레이딩 알고리즘은 카오스 이론을 기반으로 주가 변동성을 분석
- 헤지펀드와 고빈도 거래(High-Frequency Trading, HFT)에서 활용됨
📌 생물학적 시스템과 심장 박동 예측
✅ 심장 박동과 카오스 이론
심장 박동은 일정한 리듬을 따르지만,
스트레스, 질병, 환경 변화에 따라 비선형적인 변화를 보인다.
- 심장 부정맥(Arrhythmia)과 카오스 모델
- 뇌파(EEG) 분석에서 카오스 이론 활용
5️⃣ 미래의 카오스 이론 연구와 전망
✅ 양자 컴퓨팅과 카오스 시스템
양자역학에서 입자의 상태는 불확실성의 영향을 받는다.
카오스 시스템과 유사한 성질을 가진 양자 시스템을 연구함으로써
새로운 형태의 예측 모델이 등장할 가능성이 있다.
✅ AI와 머신러닝을 활용한 카오스 시스템 분석
AI는 빅데이터를 통해 카오스 패턴을 학습하고
기후 예측, 금융 분석, 의학 진단 등의 분야에서 활용될 수 있다.
🛑 카오스는 질서인가, 무질서인가?
카오스 이론은 단순한 혼돈이 아니다.
이는 우리가 이해하지 못하는 숨겨진 질서가 존재한다는 것을 의미한다.
하지만, 그 질서를 인간이 예측할 수 있는가?
AI가 발전한다면 카오스 시스템을 완벽하게 예측할 수 있을까?
아니면, 세상은 여전히 우리가 통제할 수 없는 무질서한 상태로 남을 것인가?
카오스는 단순한 무질서가 아니라, 우리가 아직 이해하지 못한 질서일지도 모른다.
'2️⃣ 공학적 사고 & 문제 해결' 카테고리의 다른 글
| ⚛ 양자역학과 양자 컴퓨팅의 수학적 기초: 확률과 중첩의 세계 (0) | 2025.02.25 |
|---|---|
| 미분기하학과 상대성이론: 곡률이 결정하는 시공간의 구조 (0) | 2025.02.25 |
| 인공지능 기반 스마트 제조 시스템: 혁신인가, 위협인가? (0) | 2025.02.24 |
| 인간 증강 기술과 웨어러블 컴퓨팅: 인간의 한계를 확장하는 기술 혁명 (0) | 2025.02.24 |
| 전력 전자 및 에너지 저장 기술: 미래를 움직이는 전력 혁신 (0) | 2025.02.24 |