🔹 1️⃣ 푸리에 변환이란?
푸리에 변환(Fourier Transform)은 어떤 신호를 시간(domain)에서 주파수(domain)로 변환하는 수학적 기법이다.
이는 음성 신호, 이미지 처리, 전자기파 분석 등 다양한 공학적 응용에서 필수적인 역할을 한다.
📌 푸리에 변환의 핵심 개념
✔️ 모든 복잡한 신호는 여러 개의 정현파(sinusoidal waves)로 분해할 수 있다.
✔️ 푸리에 변환을 사용하면 주어진 신호가 어떤 주파수를 포함하고 있는지 분석할 수 있다.
✔️ 주파수 스펙트럼을 통해 데이터의 특성을 시각적으로 이해할 수 있다.
🔹 2️⃣ 푸리에 급수와 신호의 분해
푸리에 급수(Fourier Series)는 주기적인 신호(periodic function)를 사인(sine)과 코사인(cosine) 함수의 합으로 표현하는 방법이다.
만약 f(x)가 주기적 함수라면, 푸리에 급수는 다음과 같이 표현된다.

📌 각 항의 의미
✔️ an, bn→ 푸리에 계수(Fourier Coefficients)로, 특정 주파수 성분의 강도를 나타냄
✔️ nω → 기본 주파수 ω의 배수 (고조파, harmonics)
✔️ 푸리에 계수가 클수록 해당 주파수 성분이 신호에서 강하게 나타남
🔹 3️⃣ 푸리에 변환과 주파수 영역 분석
푸리에 급수는 주기적 신호에만 적용되지만,
푸리에 변환(Fourier Transform)은 비주기적인 신호도 변환 가능하다.
푸리에 변환은 다음과 같이 정의된다.

✔️: 주파수 영역에서의 신호 표현
✔️ e^−jωt: 복소 지수 함수(Complex Exponential), 푸리에 변환의 핵심
✔️ 시간 신호 f(t)를 주파수 성분으로 변환하는 역할
푸리에 변환을 수행하면, 신호가 어떤 주파수 성분으로 구성되어 있는지 시각적으로 분석 가능하다.
🎛 4️⃣ 푸리에 변환의 실제 응용 사례
📌 오디오 신호 처리(Audio Signal Processing)
✔️ MP3 압축
- 음악 파일에서 사람이 듣지 못하는 고주파 성분 제거 → 파일 크기 감소
- 푸리에 변환을 활용하여 주파수 분석 후 비효율적인 데이터 제거
✔️ 소음 제거(Noise Reduction)
- 특정 주파수 대역에서 불필요한 소음 제거 필터 적용
- 고주파 잡음 제거 → 음성 신호의 선명도 향상
📌 이미지 처리(Image Processing)
✔️ JPEG 압축 알고리즘
- 푸리에 변환을 응용한 이산 코사인 변환(DCT, Discrete Cosine Transform) 사용
- 고주파 성분을 제거하여 효율적인 이미지 압축 가능
✔️ 엣지 검출(Edge Detection)
- 이미지에서 특정 주파수 성분을 강조하여 경계선(Edge)을 더욱 명확하게 검출
📌 실제 사례
✅ CT 스캔, MRI에서 푸리에 변환을 사용하여 신체 내부 이미지 분석
✅ 위성 영상 분석에서 노이즈 제거 및 데이터 보정
🛠 5️⃣ 디지털 신호 처리(DSP)에서 푸리에 변환의 역할
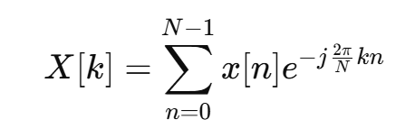
📌 1. 이산 푸리에 변환(DFT, Discrete Fourier Transform)
디지털 시스템에서는 연속 신호를 다룰 수 없기 때문에
신호를 **이산 형태(Discrete Form)**로 변환해야 한다.
이산 푸리에 변환(DFT)은 다음과 같이 정의된다.

📌 DFT의 핵심 요소
✔️ X [k] → 주파수 영역에서의 신호
✔️ x [n] → 시간 영역의 이산 신호
✔️ e^−jkn2π/N → 주파수 변환을 위한 복소 지수 함수
📌 2. 고속 푸리에 변환(FFT, Fast Fourier Transform)
✔️ DFT는 계산량이 많아 비효율적
✔️ FFT(Fast Fourier Transform)는 DFT보다 연산 속도를 획기적으로 향상
✔️ DFT: O(N^2) → FFT: → 속도가 훨씬 빠름
📌 FFT 응용 사례
✅ 실시간 음성 인식 (Google Assistant, Siri, ChatGPT 음성 인식)
✅ Wi-Fi, 5G, 블루투스 신호 분석 → 주파수 변환 필수
🔬 6️⃣ 푸리에 변환의 미래와 최신 연구
✔️ AI 기반 신호 처리
- 머신러닝과 푸리에 변환을 결합하여 음성 합성(Speech Synthesis) 기술 향상
- 예제: 딥러닝 기반 음성 변환(Tacotron, WaveNet)
✔️ 양자 푸리에 변환(QFT, Quantum Fourier Transform)
- **양자 컴퓨팅(Quantum Computing)**에서 중요한 역할 수행
- 쇼어 알고리즘(Shor’s Algorithm)의 핵심 부분
✔️ 신경 과학(Neuroscience) 응용
- 인간의 뇌파(EEG, Electroencephalography) 신호 분석
- 푸리에 변환을 이용하여 뇌 신호의 주파수 패턴 연구
📌 우리는 푸리에 변환을 어디에서나 사용하고 있다
✔️ 음성 인식, 음악 압축, 영상 처리, 의료 영상 분석, 무선 통신 등
✔️ 푸리에 변환은 단순한 수학 이론이 아니라, 현대 기술의 핵심적인 요소
✔️ AI, 양자 컴퓨팅과 결합하여 새로운 응용 가능성 확장 중
하지만, 푸리에 변환이 모든 신호 처리 문제를 해결할 수 있을까?
더 빠르고 정밀한 신호 분석 기법이 등장할 가능성은 없을까?
'2️⃣ 공학적 사고 & 문제 해결' 카테고리의 다른 글
| C-ITS 기반 스마트 도로와 자율 협력 주행 (0) | 2025.02.27 |
|---|---|
| 허스키 렌즈와 객체 탐지 기술 및 해양 쓰레기 수거 로봇 (0) | 2025.02.27 |
| ⚛ 양자역학과 양자 컴퓨팅의 수학적 기초: 확률과 중첩의 세계 (0) | 2025.02.25 |
| 미분기하학과 상대성이론: 곡률이 결정하는 시공간의 구조 (0) | 2025.02.25 |
| 비선형 동역학과 카오스 이론: 질서 속의 무질서 (0) | 2025.02.25 |